不確かさとは
不確かさの定義
測定の世界では、SI(国際単位系)の導入より測定結果は一貫性を持つようになりました。そして、次に重要視されたのは、測定結果がどれぐらい信用できるかです。その基準として、従来は「誤差」が用いられていましたが、真値が現実には求められないことから、測定量ごとに算出方法が異なっていました。そこで、国や測定量によらず統一された考え方である「不確かさ」が誕生しました。不確かさの中では、「真値」や「測定誤差」といった原理的に不可知な量は持ち込まない、という立場が採用されました。
不確かさの定義 (GUM2.2.3)*
測定の結果に不随した、合理的に測定量に結び付けられ得る値のばらつきを特徴付けるパラメータのことです。
簡単にいうと、測定結果のばらつきを表す値です。そのため、不確かさは、測定値とセットで報告されます。ばらつきの程度を表す指標として標準偏差を使います。
*GUM
Guide to the Expression of Uncertainty in Measurementの略称であり、7つの国際機関によって発行された不確かさに関するガイドで「不確かさ」はこのガイドに従うのが通例です。2005年にILACが参加し、現在は8つの国際機関となっています。
POINT
測定結果のばらつきと測定システムの性能は混同されることがありますが、不確かさは測定システムのスペックではありません。不確かさは測定結果に付随するものです。そのため、「この測定器・測定システムの不確かさは?」という表現は正しくありません。
不確かさのイメージ
「ものさしを使って部品の長さを測定したら10.0mmだった。」この場合、測定結果はどれぐらい信頼できるでしょうか?
10.0㎜
測定器による:9.8㎜
測定環境による:10.1㎜
測定者による:10.2㎜
測定値は様々な要因により、ばらつきを持ってしまいます。「真の値」は「神のみぞ知る値」で、知ることができません。
そこで、測定値の信頼の指標として不確かさという考え方を用いるようになりました。
不確かさ算出の要点
実際の不確かさ(拡張不確かさ)はどのようにして求められるか、その要点を説明します。不確かさの算出は3つのステップに分けて行います。
ステップ1:
測定のばらつきの要因を特定する(要因A:測定システム、要因B:環境温度、要因C:測定者など)
測定方法を確認し、測定システム、測定対象、測定手順、測定環境、測定者の技能など、測定値に不確かさを持たせる要因を抽出します。
ステップ2:
特定した個々の要因によるばらつきの大きさを推定する (標準不確かさu1, u2, u3など)
各ばらつき要因の特徴からばらつきに応じて計算方法が変わります。
ステップ3:
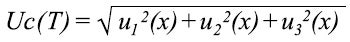
求めた個々のばらつきを合成し、全体的なばらつきを求める
手順は、まず各標準不確かさ(u1、 u2、 u3・・・)を合成し標準合成不確かさ(Uc)を求め、 更に定数k*を乗算して拡張不確かさを求めます。
合成標準不確かさ
拡張不確かさ
*定数kは包含係数と呼ばれ不確かさ算出ではk =2(2σ)が多く使われます。
不確かさの表記方法
ISO/IEC 17025認定校正の証明書には下記のような不確かさの表記が求められます。
- 測定値
- 拡張不確かさ
- 信頼の水準(約95%)、または包含係数k =2
- 使用した上位標準および、その値
測定結果:10.0mm 0.1mm、k =2
測定値 拡張不確かさ 信頼の水準または含有係数k =2
つまり、「ものさしを使って部品の長さを測定したら10.0mmだった。」場合、長さが9.9mm~10.1mmの間にあるということに対して約95%の信頼の水準を持ちます。