装置取り付け焦準アーム 「SZ2-STP」 の無償交換について
平素より当社製品についてご愛顧を賜り、厚く御礼申し上げます。
このたび、当社製品の装置取り付け焦準アーム 「SZ2-STP」において、実体顕微鏡ズームボディのホールド部分が上下逆に取り付けされた品を出荷していたことが判明いたしました。
つきましては、対象製品を無償交換いたします。
お客さま、お取引先、ならびに関係者の皆さまに、多大なご迷惑をおかけいたしますこと深くお詫び申し上げます。今後このようなことのないように、一層努力し品質管理に万全を期してまいる所存でございますので、ご理解とご協力を賜りますようお願い申し上げます。
<対象製品>
- 通称:装置取り付け焦準アーム*
- 弊社製品名:SZ2-STP(2022年9月からの生産品の一部)
*装置取り付け焦準アームは、お客さまの装置に取り付けたうえで、ズームボディを上下駆動させる製品です。
<不具合現象>
実体顕微鏡ズームボディのホールド部分が上下逆に組付けされています。
これにより、実体顕微鏡ズームボディの取り付け基準位置が上方に47mmずれます。
なお、本不具合による作動範囲(45mm)、安全性、製品剛性、耐久性への影響はありません。
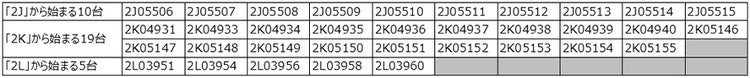
<対象製品範囲>
製品背面に製品名がシールにて記載されており、同シール内に製品シリアル番号を英数字7桁表示しています。
2022年9月からの生産品34台 (対象製品項の図参照)
<お客さまへのお願い>
対象製品をご使用のお客さまには、大変お手数をおかけしますが、当社までご連絡をお願いいたします。
なお、ご連絡の際には、次の情報をお知らせください。
(1)製品シリアル番号
(2)おおよそのご購入年月 (ご不明であれば結構です)
お客さまからご提供いただきました氏名・住所・電話番号などの個人情報は、対象製品のお預かり・点検確認・お引渡し、出張点検・修理のご連絡等の目的以外には使用いたしません。
以上