Quantifizierung der Struktur oberflächenbehandelter Folien: Ein Vergleich der räumlichen Parameter

february-2024-suzue-izumi-banner.jpg

Post Author's Photo

Suzue Izumi

20 Februar, 2024

Die Oberflächen von Folien, die in einer Vielzahl von Bereichen eingesetzt werden, z. B. für Industrieprodukte, als Lebensmittelverpackung und für Produkte des täglichen Bedarfs, werden behandelt und bearbeitet, um Transparenz, Glanz, Wasserbeständigkeit, Fleckenbeständigkeit und verschiedene andere Funktionen für die jeweilige Anwendung zu erreichen.

Zur Bewertung der Oberflächenbehandlung kann die Folie gegen das Licht gehalten werden, um den Oberflächenglanz und die Transparenz der Folie zu prüfen. Es ist jedoch auch notwendig, Unterschiede in der Oberflächenstruktur der Folie quantitativ zu bewerten.

Bei der Quantifizierung von Unterschieden der Folienoberflächen ist es üblich, die Oberflächenrauheit als quantitatives Maß für die Oberflächenstruktur zu bewerten. Typische Oberflächenrauheitsparameter, die zur Bewertung der Oberflächeneigenschaften in der Höhenrichtung (Z) herangezogen werden, sind Sa, Sdq und Sdr. Die Oberflächenrauheit (Höhe) ist jedoch nur ein Faktor bei der visuellen Untersuchung der Folienstruktur. Die Struktur von feinen Mustern und von Mustern, die sich in der Ebene (XY) erstrecken, hat ebenfalls einen erheblichen Einfluss.

Während die meisten Oberflächenrauheitsparameter die Höhenkomponente bewerten, sind Sal (Autokorrelationslänge) und Str (Texturseitenverhältnis) die einzigen Parameter, die die planare Komponente bewerten.

Quantifizierung von Strukturunterschieden oberflächenbehandelter Folien – ein Experiment

Zum besseren Verständnis, was diese planaren Richtungsparameter für die Messung der Folienoberflächenstruktur bedeuten, haben wir in einem Experiment drei Folien mit unterschiedlichem strukturellem Aussehen verglichen.

Oberflächenstruktur der Folien

Bei Folie 1 ist der Text durch die Folie klar erkennbar, bei Folie 2 und 3 erscheint der Text durch die Folie unscharf. Alle drei Folien haben eine unterschiedliche visuelle Struktur. Wir wollen nun untersuchen, welche Ergebnisse wir erhalten, wenn wir diese drei Folien mit den planaren Richtungsparametern Sal und Str quantifizieren.

Sal und Str – ein Überblick

Bevor wir uns mit den Versuchsdaten befassen, müssen wir mehr über die Parameter erfahren.

Sal (Autokorrelationslänge) ist ein Maß dafür, wie sehr ein unebenes Bild dem Originalbild durch Verschiebung in horizontaler Richtung (τx, τy) ähnelt (oder sich von ihm unterscheidet). Mit anderen Worten: Dieser Parameter gibt den Grad der Ähnlichkeit zwischen dem Bild vor und nach der Verschiebung an. Er ist ein numerisches Maß für die Dichte von Oberflächenunregelmäßigkeiten wie Rillen und Partikeln in Längeneinheiten.

Die folgenden Schritte werden zur Quantifizierung der Ergebnisse verwendet:

  1. Das unebene Bild wird um ein Pixel in horizontaler Richtung verschoben (τx, τy).
  2. Nach dem Verschieben und Multiplizieren der Höhenwerte der sich überlappenden schattierten Bereiche in der folgenden Abbildung werden eine Reihe weiterer Operationen wie die Normalisierung durchgeführt. Diese Prozesse werden als Autokorrelationsoperationen bezeichnet. Auf diese Weise wird ein aus dem Originalbild transformiertes Autokorrelationsbild erstellt.

Prozess der Erstellung eines Autokorrelationsbildes

Prozess der Erstellung eines Autokorrelationsbildes.

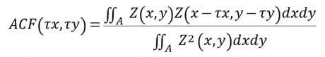
  1. Mathematisch wird die Autokorrelationsfunktion (ACF) wie folgt ausgedrückt:

  1. Der geringste seitliche Abstand (rmin), der im Autokorrelationsbild auf den Korrelationswert s (0 ≤ s < 1, s = 0,2, falls nicht angegeben) abfällt, ist der Sal-Wert.

Str (Texturseitenverhältnis) ist definiert als das Verhältnis zwischen dem weitesten seitlichen Abstand (rmax), der im Autokorrelationsbild auf den Korrelationswert s (0 ≤ s < 1, s = 0,2 wenn nicht angegeben) abfällt, und Sal (rmin) in einem Autokorrelationsbild.

Hier sind Sal und Str in einer dreidimensionalen (3D) Ansicht zu sehen:

Die Oberflächenrauheitsparameter Sal und Str in einer 3D-Ansicht

Hier sind Sal und Str in einer zweidimensionalen (2D) Ansicht zu sehen:

Die Oberflächenrauheitsparameter Sal und Str in einer 2D-Ansicht

Die Oberflächenrauheitsparameter Sal und Str in einer 2D-Ansicht

Sal = 1,27 μm. Str = 1,27/1,69 = 0,752.

Für Sal gilt: Je kleiner der Wert, desto steiler ist die Unregelmäßigkeit der Oberfläche, und je größer der Wert, desto flacher ist die Form. Str reicht von 0 bis 1, wobei Str > 0,5 in der Regel auf starke Isotropie* hinweist und umgekehrt Str < 0,3 auf starke Anisotropie**.

* Unabhängigkeit einer Eigenschaft und Verteilung von einer Richtung. In diesem Fall bedeutet dies, dass die Verteilung der Form in alle Richtungen gleichmäßig und unverzerrt ist.
** Abhängigkeit einer Eigenschaft oder Verteilung von einer Richtung. Damit ist gemeint, dass die Verteilung der Form in eine bestimmte Richtung verzogen ist.

Bewertung der 3 Folienoberflächen mit der 3D-Laser-Scanning-Mikroskopie

Für dieses Experiment bestätigte ich zunächst visuell die Oberflächenbeschaffenheit der drei Folien in drei Dimensionen mithilfe eines LEXT OLS5100 3D-Laser-Konfokalmikroskops.

Zur Erfassung der 3D-Daten scannt das OLS5100 Mikroskop die Probenoberfläche mit einem violetten Laserstrahl von 405 nm. Die speziellen LEXT Objektive, die an die Wellenlänge von 405 nm angepasst sind und Aberrationen minimieren, ermöglichen die klare Erfassung kleinster Muster und Defekte, die mit herkömmlichen optischen Mikroskopen und allgemeinen Lasermikroskopen nur schwer zu erfassen sind. Das optische System misst zudem kontaktfrei, sodass die Oberfläche selbst bei einer weichen Probe wie einer Folie unbeschädigt bleibt.

Objektive für ein 3D-Laser-Konfokalmikroskop

Spezielle LEXT Objektive von links nach rechts: 10X Objektiv mit geringer Vergrößerung, 20X, 50X und 100X Hochleistungsobjektive und 20X, 50X und 100X Objektive mit großem Arbeitsabstand.

Mit einem roten Laser erfasste Oberflächenstruktur

Roter Laser (658 nm: 0,26 μm Linie und Abstand).

Mit einem violetten Laser erfasste Oberflächenstruktur

Violetter Laser (405 nm: 0,12 μm Linie und Abstand).

Darüber hinaus kann das OLS5100 Mikroskop eine zuverlässige Analyse der Oberflächenrauheit gemäß ISO 25178 durchführen, die Parameter Sal und Str (einzigartig für die Oberflächenrauheit) auswerten und mehrere Bilder zu einem einzigen zusammenfügen, um hochpräzise Weitfelddaten zu erfassen. Es können sogar Bereiche aus dem zusammengesetzten Bild auf der Makrokarte angegeben werden, um die Analyse der Oberflächenstruktur zu erleichtern.

Diese letzte Funktion wird im folgenden Schritt demonstriert, bei dem ich ein zusammengesetztes Bild erstellt habe, um die Rauheitsdaten der Folienoberflächen in einem größeren Bereich zu erfassen.

Erfassung von Oberflächenrauheitsdaten aus einer breiteren Perspektive

Das menschliche Auge kann Objekte mit einer Größe bis etwa 0,1 bis 0,2 mm erkennen. Die Größe der Struktur auf der Folienoberfläche, die visuell bestätigt werden kann, wird als gleich groß oder größer als dieser Wert angesehen.

Da die Oberflächenstruktur der Folie noch kleinere Unregelmäßigkeiten enthalten kann, ist es wichtig, für die Datenerfassung ein Objektiv mit höherer Auflösung und Vergrößerung zu wählen. Da der Beobachtungsbereich eines Sichtfeldes mit lichtstarken Objektiven im Gegenzug zu einer höheren Auflösung kleiner wird, ist der Stitching-Modus des OLS5100 Mikroskops für die Weitfeldbeobachtung nützlich.

Einzelne Bilder, die mit einem hochvergrößernden Objektiv aufgenommen wurden, können zusammengefügt werden (wie bei einem Puzzle), um hochauflösende Bilder mit einem größeren Sichtfeld von weit verstreuten Merkmalen in Abständen von zehn bis hundert Millimetern zu erhalten.

Einzelne 2D-Bilder vor dem Stitching

Einzelne 2D-Bilder vor dem Stitching.

2D-Bild nach dem Stitching

2D-Bild nach dem Stitching.

Weitfeldansicht der Folienoberflächenstruktur

Links: 9 × 9 zusammengesetzte Höhenbilder (50X Objektiv, etwa 2000 µm im Quadrat). Höhenbilder sind 2D-Bilder, die Höhendaten in einem farbcodierten Band darstellen. Rechts: Einzelbild, etwa 250 µm. Auf dem zusammengesetzten Bild ist die Verteilung der großen und kleinen Strukturen in Abständen von einigen zehn bis hundert µm zu erkennen.

Schauen wir uns nun die tatsächlichen Analyseergebnisse für die drei Folien an.

Nachfolgend sind die 3D-Bilder und die Ergebnisse der Oberflächenrauheitsmessung der Oberflächen der Folien 1 bis 3 dargestellt, die mit dem OLS5100 Mikroskop auf einer Fläche von etwa 2 mm im Quadrat aufgenommen wurden.

Folienoberflächenstruktur, 3D-Ansicht der Folienoberflächenstruktur

3D-Bildvergleich der Folien 1 bis 3. Die untere Reihe zeigt 9 × 9 zusammengesetzte Bilder (50X Objektiv, etwa 2000 µm im Quadrat).

Probe
Sa [µm]
Folie 1_ob50x_9x9
0,069
Folie 2_ob50x_9x9
1,181
Folie 3_ob50x_9x9
0,391

Wert der Oberflächenrauheit in Sa.

Wie aus der obigen Tabelle hervorgeht, sind die Unterschiede in der Unebenheit der Folienoberfläche zwischen den drei Proben bezüglich der Werte für Sa (arithmetische mittlere Höhe), die üblicherweise für die Oberflächenrauheit bewertet wird, gut erkennbar. Was die Korrelation zwischen dem visuellen Erscheinungsbild der Oberfläche und der Verteilung der 3D-Unregelmäßigkeiten betrifft, so zeigt sich, dass Folie 1 eine glatte Oberfläche aufweist. Im Gegensatz dazu weisen Folie 2 und 3 örtlich begrenzte oder vollständige Oberflächenunregelmäßigkeiten auf.

Betrachten wir nun die Rauheitsparameter Sal (Autokorrelationslänge) und Str (Texturseitenverhältnis), die das Ausmaß dieser Unebenheit quantifizieren.

Probe
Sa [µm]
Sal [µm]
Str
Folie 1_ob50x_9x9
0,069
244,26
0,605
Folie 2_ob50x_9x9
1,181
120,65
0,865
Folie 3_ob50x_9x9
0,391
35,162
0,839

Wert der Oberflächenrauheit in Sa, Sal und Str.

Wie oben definiert, gilt: Je kleiner der Wert von Sal, desto steiler ist die Unregelmäßigkeit der Oberfläche, und je größer der Wert, desto flacher ist die Form. Die Sal-Werte der Proben stehen zueinander im Verhältnis, wie die obige Tabelle zeigt. Wie anhand der 3D-Bilder erkennsichtlich, weist Folie 1 mit einem höheren Wert auf ein flacheres Oberflächenprofil hin. Folie 3 mit einem niedrigeren Wert weist dagegen ein steileres Oberflächenprofil und eine feinere Körnung auf.

Str ist definiert als das Verhältnis zwischen dem weitesten seitlichen Abstand (rmax), der in einem Autokorrelationsbild auf den Korrelationswert s (0 ≤ s < 1, oder s = 0,2, falls nicht angegeben) abfällt, und Sal (rmin). Der Parameter wird durch die folgende Formel ausgedrückt:

Sal = rmin
Str = rmin/rmax

Die Str-Werte für die drei Proben unterscheiden sich nur geringfügig zwischen den Folien 2 und 3 und etwas mehr zwischen diesen beiden Folien und Folie 1.

Str reicht von 0 bis 1. Str > 0,5 weist in der Regel auf starke Isotropie und Str < 0,3 auf starke Anisotropie hin, alle drei Proben haben einen Wert von 0,5 oder höher. Daraus können wir schließen, dass die Verteilung der unebenen Formen isotrop ist. Wenn überhaupt, dann ist Folie 1, die näher an 0,3 liegt, etwas anisotroper als Folie 2 und 3, deren Werte deutlich über 0,5 liegen.

Anisotropie im Vergleich zur Isotropie in der Oberflächenstruktur

Höhenbild

3D-Bild der Oberflächenstruktur der Folie

Autokorrelationsbild

Autokorrelationsbild der Folienoberflächenstruktur

Vergrößerte Ansicht des Autokorrelationsbildes

Autokorrelationsbild der Folienoberflächenstruktur

Bestimmung der Strukturunterschiede der Folien mit räumlichen Parametern

Aus den Daten lassen sich die folgenden Schlüsse für die drei unterschiedlich strukturierten Folienoberflächen ziehen.

Dank der zuverlässigen Daten kann das OLS5100 Mikroskop zur Bewertung der Oberflächenrauheit von Folien in einer Vielzahl von Bereichen beitragen. Weitere Informationen zur Verwendung des OLS5100 3D-Laserkonfokalmikroskops für die Messung der Oberflächenrauheit von Folien erhalten Sie von unserem Team.

Post Author's Photo

Suzue Izumi

Marketing Specialist, Metrology Solutions

Suzue Izumi is a marketing specialist for metrology solutions at Evident. Since joining Evident in 2001, she has performed many demonstrations as a laser confocal microscope specialist. In addition to visiting laser confocal microscope users in Japan to provide technical support for system operations and data analysis, she provides application support globally.