Quantificazione della struttura nelle pellicole con superfici trattate: Un confronto dei parametri spaziali

february-2024-suzue-izumi-banner.jpg

Post Author's Photo

Suzue Izumi

20 febbraio, 2024

Le superfici delle pellicole usate in numerosi ambiti, come i materiali industriali, il confezionamento alimentare e i bisogni quotidiani, per aggiungere trasparenza, lucentezza, resistenza all'acqua, resistenza alle macchie e diverse altre funzioni conformi all'applicazione.

Sebbene i trattamenti superficiali siano a volte valutati attraverso un'analisi visiva sotto luce per verificare la lucentezza superficiale e la trasparenza della pellicola, esiste anche la necessità di valutazione quantitativa delle differenze di struttura superficiale delle pellicole.

Quando si quantificano le differenze nelle superfici delle pellicole è pratica comune di valutare la rugosità superficiale come misura quantitativa della struttura superficiale. Sa, Sdq e Sdr sono tipici parametri di rugosità superficiale usati per valutare le proprietà superficiali nella direzione dell'altezza (Z). Tuttavia la rugosità superficiale (altezza) rappresenta solo un fattore nella percezione visiva della struttura della pellicola. Anche la struttura di pattern di ridotte dimensioni e i pattern che si sviluppano nella direzione planare (XY) hanno un effetto significativo.

Sebbene la maggior parte dei parametri di rugosità superficiale valutino la componente dell'altezza, il Sal (lunghezza dell'autocorrelazione) e l'Str (rapporto dell'aspetto della struttura) sono i soli due parametri che valutano la componente planare.

Quantificazione strutturale delle differenze nelle pellicole trattate superficialmente: Un esperimento

Per permettere una migliore comprensione su come questi parametri direzionali planari facilitano la misura della struttura superficiale della pellicola, abbiamo eseguito un esperimento confrontando tre pellicole con diversi aspetti strutturali.

La pellicola 1, nella quale il testo appare chiaro attraverso la pellicola, e le pellicole 2-3, nelle quali il testo appare opaco attraverso le pellicole, possiedono diverse strutture. Di seguito saranno valutati i risultati nel caso in cui quantifichiamo queste tre pellicole attraverso i parametri direzionali planari Sal e Str.

La pellicola 1, nella quale il testo appare chiaro attraverso la pellicola, e le pellicole 2-3, nelle quali il testo appare opaco attraverso le pellicole, possiedono diverse strutture. Di seguito saranno valutati i risultati nel caso in cui quantifichiamo queste tre pellicole attraverso i parametri direzionali planari Sal e Str.

Una panoramica sul Sal e sull'Str

Prima di valutare i dati dell'esperimento trattiamo gli elementi di base di ogni parametro.

Il Sal (lunghezza dell'autocorrelazione) rappresenta la misura di quanto un'immagine irregolare sia simile o dissimile dall'immagine originale traslandola nella direzione orizzontale (τx, τy). In altri termini indica il grado di similarità tra l'immagine prima e dopo la traslazione. Rappresenta una misura numerica della densità delle irregolarità superficiali come le striature e le particelle espressa nell'unità di misura della lunghezza.

Di seguito sono riportate le fasi usate per quantificare i risultati:

  1. L'immagine irregolare è traslata di un pixel in direzione orizzontale (τx, τy).
  2. In seguito alla traslazione e alla moltiplicazione dei valori delle altezze delle aree ombreggiate sovrapposte illustrate nella seguente figura, viene eseguita una serie di operazioni aggiuntive come la normalizzazione. Questi processi sono denominati operazioni di autocorrelazione. In questo modo viene creata un'immagine di autocorrelazione trasformata dall'immagine originale.

Processo di creazione di un'immagine con autocorrelazione.

Processo di creazione di un'immagine con autocorrelazione.

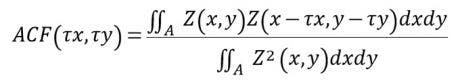
  1. Matematicamente la funzione di autocorrelazione (ACF) viene espressa come:

  1. La distanza laterale più vicina (rmin) che diminuisce al valore di correlazione s (0 ≤ s < 1, s = 0,2 se non specificato) nell'immagine dell'autocorrelazione è il valore Sal.

Str (rapporto di aspetto della struttura) è definito come il rapporto della distanza laterale più lontana (rmax) che diminuisce al valore di correlazione s (0 ≤ s < 1, s = 0,2 se non specificato) nell'immagine dell'autocorrelazione e Sal (rmin) in un'immagine dell'autocorrelazione.

Di seguito vengono riportati i parametri Sal e Str in una vista tridimensionale (3D):

Di seguito vengono riportati i parametri Sal e Str in una vista bidimensionale (2D):

Di seguito vengono riportati i parametri Sal e Str in una vista bidimensionale (2D):

I parametri della rugosità superficiale Sal e Str in una vista 2D

Per il parametro Sal, minore è il valore, più repentina è l'irregolarità della superficie, mentre, maggiore è il valore, più graduale è l'irregolarità della superficie. L'Str è compreso tra 0 e 1: un Str > 0,5 indica in genere un'elevata isotropia* invece un Str < 0,3 indica un'elevata anisotropia.**

Sal = 1,27 μm. Str = 1,27/1,69 = 0,752.

Per il parametro Sal, minore è il valore, più repentina è l'irregolarità della superficie, mentre, maggiore è il valore, più graduale è l'irregolarità della superficie. L'Str è compreso tra 0 e 1: un Str > 0,5 indica in genere un'elevata isotropia* invece un Str < 0,3 indica un'elevata anisotropia.**

* Indipendente dalle proprietà e dalla distribuzione in tutte le direzioni. In questo caso si riferisce al fatto che la distribuzione della forma si sviluppa in modo uniforme e non distorta in tutte le direzioni.
** Dipendente da una proprietà e da una distribuzione in una direzione. In questo caso si fa riferimento al fatto che la distribuzione della forma si sviluppa in una certa direzione.

Valutazione di 3 superfici di pellicole mediante la microscopia di scansione laser 3D

Per questo esperimento si è innanzitutto confermato visualmente le condizioni superficiali delle tre pellicole in tre dimensioni mediante un microscopio confocale laser 3D LEXT™ OLS5100 3D.

Per acquisire i dati 3D il microscopio OLS5100 scansiona la superficie del campione con un fascio laser viola a 405 nm. I dedicati obiettivi LEXT (i quali sono adattati a una lunghezza d'onda di 405 nm e a una minimizzazione delle aberrazioni) permettono di acquisire chiaramente pattern e difetti di ridotte dimensioni che sono difficili da acquisire con microscopi ottici convenzionali e microscopi laser generali. Inoltre il sistema ottico permette di acquisire le misure senza contatto, pertanto non esiste il rischio di danneggiare la superficie anche nel caso di una superficie morbida come una pellicola.

Obiettivi per un microscopio confocale laser 3D

Dedicati obiettivi LEXT da sinistra a destra: obiettivo a basso ingrandimento 10X; obiettivi a alte prestazioni 20X, 50X e 100X; obiettivi a lunga distanza di lavoro 20X, 50X e 100X.

Struttura superficiale acquisita con un laser rosso

Laser rosso (658 nm: linea e spazio di 0,26 μm).

Struttura superficiale acquisita con un laser viola

Laser viola (405 nm: linea e spazio di 0,12 μm).

Inoltre il microscopio OLS5100 può: eseguire delle affidabili analisi di rugosità superficiale in conformità alla norma ISO25178; valutare i parametri Sal e Str (specifico per la rugosità superficiale); unire diverse immagini in una per acquisire dei dati ad ampio campo visivo a elevata precisione. È inoltre possibile specificare delle aree da un'immagine unita su una mappatura macro per consentire un'analisi più facile della struttura superficiale.

Questo ultimo aspetto è dimostrato nella seguente fase, nella quale è stata creata un'immagine unite per acquisire i dati della rugosità superficiale delle superfici della pellicola in un'area più ampia.

Acquisizione dei dati di rugosità superficiale da una prospettiva più ampia

Il limite dimensionale visibile per l'occhio umano è compreso tra 0,1 e 0,2 mm, mentre le dimensioni della struttura della superficie della pellicola che può essere confermata visualmente è uguale o maggiore a questa dimensione.

Visto che la struttura superficiale della pellicola possa contenere anche delle irregolarità di dimensioni più ridotte, è importante scegliere un obiettivo con una risoluzione e un ingrandimento maggiore quando si acquisiscono i dati. Visto che l'intervallo di osservazione di un campo visivo si riduce con obiettivi più potenti per ottenere una risoluzione maggiore, la modalità di unione delle immagini del microscopio OLS5100 è utile per l'osservazione su un ampio campo visivo.

Le singole immagini acquisite con obiettivi a elevato ingrandimento possono essere unite (fondamentalmente combinate insieme come in un puzzle) per ottenere delle immagini a alta risoluzione a elevato campo visivo di caratteristiche ampiamente distribuite a intervalli variabili nell'ordine delle decine o centinaia di millimetri.

Singole immagini 2D prima dell'unione

Singole immagini 2D prima dell'unione.

Immagine 2D dopo l'unione

Immagine 2D dopo l'unione.

A sinistra: Immagini delle altezze unite 9 × 9 (obiettivo 50X, circa 2000 µm quadrati). Le immagini delle altezze sono immagini 2D che rappresentano i dati delle altezze in una banda codificata cromatica. A destra: Immagine singola di circa 250 µm. Quando viene riportata in un'immagine unita, la diffusione di strutture di piccole e grandi dimensioni può essere osservata a intervalli nell'ordine delle decine o centinaia di µm.

A sinistra: Immagini delle altezze unite 9 × 9 (obiettivo 50X, circa 2000 µm quadrati). Le immagini delle altezze sono immagini 2D che rappresentano i dati delle altezze in una banda codificata cromatica. A destra: Immagine singola di circa 250 µm. Quando viene riportata in un'immagine unita, la diffusione di strutture di piccole e grandi dimensioni può essere osservata a intervalli nell'ordine delle decine o centinaia di µm.

Adesso è possibile procedere a valutare gli attuali risultati di analisi per le tre pellicole.

Di seguito sono riportate le immagini 3D e i risultati di misura di rugosità superficiale delle superfici delle pellicole 1–3 acquisite con il microscopio OLS5100 su un'area di circa 2 mm quadrati.

Confronto di immagini 3D delle pellicole 1–3. La riga mostra le immagini unite 9 × 9 (obiettivo 50X, circa 2000 µm quadrati).

Confronto di immagini 3D delle pellicole 1–3. La riga mostra le immagini unite 9 × 9 (obiettivo 50X, circa 2000 µm quadrati).

Campione
Sa [µm]
Pellicola 1_ob50x_9x9
0,069
Pellicola 2_ob50x_9x9
1,181
Pellicola 3_ob50x_9x9
0,391

Valore della rugosità superficiale per Sa.

Come riportato nella tabella precedente in termini di Sa (media aritmetica delle altezze), la quale viene valutata comunemente per la rugosità superficiale, le differenze di irregolarità della superficie della pellicola dei tre campioni sono rappresentate in modo ottimale attraverso i valori. In riferimento alla correlazione tra l'aspetto superficiale visivo e la distribuzione delle irregolarità 3D è possibile osservare che la pellicola 1 ha una superficie uniforme. Invece la pellicola 2 e la pellicola 3 possiedono delle irregolarità superficiali localizzate o diffuse.

Adesso è possibile trattare i parametri di rugosità Sal (lunghezza dell'autocorrelazione) e Str (rapporto dell'aspetto della struttura), il quale quantifica l'entità di questa irregolarità.

Campione
Sa [µm]
Sal [µm]
Str
Pellicola 1_ob50x_9x9
0,069
244,26
0,605
Pellicola 2_ob50x_9x9
1,181
120,65
0,865
Pellicola 3_ob50x_9x9
0,391
35,162
0,839

Valore della rugosità superficiale per Sa, Sal e Str.

Come definito precedentemente, minore è il valore, più repentina è l'irregolarità della superficie, mentre, maggiore è il valore, più graduale è l'irregolarità della superficie. I valori del Sal dei campioni sono correlati come riportato nella tabella precedente. Come è possibile vedere in combinazione con le immagini 3D, la pellicola 1 con un valore maggiore indica un profilo superficiale più graduale. Invece la pellicola 3 con un valore inferiore indica un profilo superficiale con irregolarità più repentine e una granulometria più fine.

Str è definito come il rapporto della distanza laterale più lontana (rmax) che diminuisce al valore di correlazione s (0 ≤ s < 1, oppure s = 0,2 se non è specificato) e Sal (rmin) in un'immagine di autocorrelazione. Viene espresso dalla seguente formula:

Sal = rmin
Str = rmin/rmax

I valori di Str per i tre campioni mostrano delle minime differenze tra la pellicola 2 e la pellicola 3, oltre a alcune differenze tra queste due pellicole e la pellicola 1.

Str varia da 0 a 1. Visto che Str > 0,5 in genere indica un'elevata isotropia e Str < 0,3 indica un'elevata anisotropia, tutti e tre i campioni hanno un valore pari o superiore a 0,5. Pertanto è possibile concludere che la distribuzione di forme irregolari è isotropica. Semmai, la pellicola 1, la quale è più vicina a 0,3, è leggermente più anisotropica rispetto alle pellicole 2 e 3, le quali hanno valori superiori a 0,5.

Confronto tra anisotropia e isotropia nella struttura superficiale

Immagine delle altezze

Immagine 3D della struttura superficiale della pellicola

Immagine dell'autocorrelazione

Immagine dell'autocorrelazione della struttura superficiale della pellicola

Vista ingrandita dell'immagine dell'autocorrelazione

Immagine dell'autocorrelazione della struttura superficiale della pellicola

Determinazione delle differenze strutturali delle pellicole con i parametri spaziali

In base ai dati è possibile formulare le seguenti conclusioni sulle superfici delle tre pellicole con un differente aspetto strutturale.

Attraverso la produzione di dati affidabili, ci si aspetta che il microscopio OLS5100 possa contribuire alla valutazione della rugosità superficiale delle pellicole in numerosi ambiti. Per maggior dettagli sull'uso del microscopio confocale 3D OLS5100 per misurare la rugosità superficiale delle pellicole, contatta il nostro team.

Post Author's Photo

Suzue Izumi

Marketing Specialist, Metrology Solutions

Suzue Izumi is a marketing specialist for metrology solutions at Evident. Since joining Evident in 2001, she has performed many demonstrations as a laser confocal microscope specialist. In addition to visiting laser confocal microscope users in Japan to provide technical support for system operations and data analysis, she provides application support globally.