표면 처리된 필름의 질감 정량화: 공간 매개변수 비교

february-2024-suzue-izumi-banner.jpg

Post Author's Photo

Suzue Izumi

2024년 2월 20일

산업용 재료, 음식 포장, 일상 용품 등 다양한 분야에서 사용되는 필름의 표면은 투명함, 광택, 수분 저항성, 얼룩 저항성 및 응용 분야에 맞는 기타 기능을 추가하기 위해 처리 및 가공됩니다.

필름을 빛에 비추어 보고 표면 광택과 가시성을 시각적으로 확인하여 표면 처리 상태를 평가하는 경우도 있지만, 필름 표면의 질감 차이를 정량적으로 평가해야 할 때도 있습니다.

필름 표면의 차이를 정량화할 때, 일반적으로 표면 질감을 정량적으로 측정하는 수단으로 표면 거칠기를 평가합니다. Sa, Sdq, Sdr은 높이(Z) 방향으로 표면의 특성을 평가하는 데 사용되는 대표적인 표면 거칠기 매개변수입니다. 그러나 표면 거칠기(높이)는 필름 질감을 시각적으로 인식할 때 고려해야 할 하나의 요인에 불과합니다. 미세한 패턴과 평면(XY) 방향으로 확장되는 패턴의 질감도 큰 영향을 미칩니다.

대부분의 표면 거칠기 매개변수는 높이 구성 요소를 평가하지만, Sal(자기상관 길이) 및 Str(질감 종횡비)은 평면 구성 요소를 평가하는 유일한 매개변수입니다.

표면 처리된 필름의 질감 정량화 실험

이러한 평면 방향 매개변수가 필름 표면 질감 측정을 어떻게 지원하는지에 대한 이해를 돕기 위해, 서로 다르게 보이는 질감을 가진 세 가지 필름을 비교하는 실험을 수행했습니다.

표면 필름 질감

필름을 통해 텍스트를 분명하게 볼 수 있는 필름 1과 필름을 통해 볼 때 텍스트가 흐릿하게 보이는 필름 2 및 3은 시각적으로 보이는 질감이 다릅니다. 이러한 세 가지 필름을 평면 방향 매개변수인 Sal 및 Str로 정량화하면 어떤 결과가 나오는지 알아보겠습니다.

Sal 및 Str에 대한 개괄적 설명

실험 데이터를 살펴보기 전에 각 매개변수에 대한 기본 정보를 알려드리겠습니다.

Sal(자기상관 길이) 은 수평적 방향(τx, τy)으로 이미지를 이동하여 불균일한 이미지가 원래 이미지와 얼마나 유사한지 또는 얼마나 다른지를 측정합니다. 다시 말해, 이 매개변수는 이동 전 이미지와 이동 후 이미지가 유사한 정도를 나타냅니다. 즉, 길이 단위에서 줄무늬 및 입자와 같은 표면 요철의 밀도를 나타내는 수치입니다.

결과 정량화를 위해 다음과 같은 단계를 따릅니다.

  1. 불균일한 이미지를 수평 방향(τx, τy)으로 한 픽셀 이동합니다.
  2. 아래 그림에서 이동 후 중첩된 그림자 영역의 높이 값을 곱한 후, 정규화 같은 일련의 추가 연산을 수행합니다. 이러한 프로세스를 자기상관 연산이라고 합니다. 이런 방식으로 원래 이미지에서 변형된 자기상관 이미지가 생성됩니다.

자기상관 이미지 생성 프로세스

자기상관 이미지 생성 프로세스.

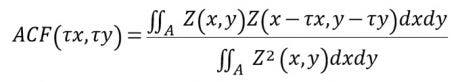
  1. 자기상관 함수(autocorrelation function, ACF)는 다음과 같이 표현됩니다.

  1. 자기상관 이미지에서 자기상관 값 s(지정되지 않은 경우 0 ≤ s < 1, s = 0.2)로 붕괴되는 가장 가까운 측방향 거리(mm)는 Sal 값입니다.

Str(질감 종횡비) 은 자기상관 이미지에서 자기상관 값 s(지정되지 않은 경우 0 ≤ s < 1, s = 0.2)로 붕괴되는 가장 먼 측방향 거리(rmax)와 자기상관 이미지의 Sal(rmin)의 비율로 정의됩니다.

3차원(3D) 뷰로 본 Sal 및 Str은 다음과 같습니다.

3D 뷰로 본 Sal 및 Str 표면 거칠기 매개변수

2차원(2D) 관점으로 본 Sal 및 Str은 다음과 같습니다.

2D 뷰로 본 Sal 및 Str 표면 거칠기 매개변수

2D 뷰로 본 Sal 및 Str 표면 거칠기 매개변수

Sal = 1.27μm. Str = 1.27/1.69 = 0.752.

Sal의 값이 작을수록 표면 요철이 더 가파르게 되며, 값이 클수록 형태가 더 완만해집니다. Str의 범위는 0~1이며, 일반적으로 Str이 0.5보다 크면 강한 등방성*을 나타냅니다. 반대로, Str이 0.3보다 작으면 강한 비등방성**을 나타냅니다.

* 어느 방향으로든 성질 및 분포와 독립적인 특성 이 경우, 등방성은 형태가 고르게 분포되어 있고 모든 방향으로 편향되지 않았음을 의미합니다.
** 한 방향으로 성질 또는 분포에 종속적인 특성. 여기서, 비등방성은 형태가 한 방향으로 분포되어 있음을 의미합니다.

3D 레이저 스캐닝 현미경으로 3가지 필름 표면 평가

이 실험을 위해 먼저 LEXT™ OLS5100 3D 레이저 컨포컬 현미경을 사용하여 3차원으로 세 가지 필름의 표면 상태를 시각적으로 확인했습니다.

3D 데이터를 얻기 위해 OLS5100 현미경은 405nm 보라색 레이저 빔으로 샘플 표면을 스캔합니다. 405nm 파장에 맞게 조정되고 수차가 최소화된 전용 LEXT 대물렌즈를 사용하여 기존 광학 현미경과 일반 레이저 현미경으로 포착하기 어려운 미세한 패턴과 결함을 선명하게 포착할 수 있습니다. 이 광학 시스템은 비접촉식이기 때문에 필름과 같이 부드러운 샘플 표면의 손상을 우려하지 않아도 됩니다.

3D 레이저 컨포컬 현미경용 대물렌즈

전용 LEXT 대물렌즈(왼쪽부터 오른쪽으로): 10배 저배율 대물렌즈, 20배, 50배, 100배 고성능 대물렌즈, 20배, 50배, 100배 긴 작동 거리 대물렌즈.

적색 레이저로 포착한 표면 질감

적색 레이저(658nm: 0.26μm 선 및 공간).

보라색 레이저로 포착한 표면 질감

보라색 레이저(405nm: 0.12μm 선 및 공간).

또한, OLS5100 현미경은 ISO 25178에 따라 표면 거칠기 분석을 신뢰할 수 있는 방식으로 수행하고, 매개변수 Sal 및 Str(표면 거칠기에 고유함)을 평가하고, 여러 이미지를 하나로 스티칭하여 매우 정확한 광시야 데이터를 얻을 수 있습니다. 심지어 매크로 맵에서 스티칭된 이미지의 영역을 지정하여 표면 질감을 더 쉽게 분석할 수도 있습니다.

이 마지막 기능은 다음 단계에서 설명합니다. 이 단계에서 넓은 영역의 필름 표면에서 표면 거칠기 데이터를 포착하기 위해 스티칭된 이미지를 만들었습니다.

넓은 시각에서 표면 거칠기 데이터 포착

인간의 육안으로 볼 수 있는 가장 작은 크기는 0.1 ~ 0.2mm입니다. 육안으로 확인할 수 있는 필름 표면의 질감 크기는 이와 동일하거나 더 큽니다.

필름 표면의 질감에는 이보다 훨씬 작은 요철이 포함될 수 있으므로 데이터 획득 시 해상도와 배율이 더 높은 대물렌즈를 선택하는 것이 중요합니다. 렌즈 배율이 높아지면 해상도가 높아지는 대신 한 시야의 관찰 범위는 더 좁아지므로 OLS5100 현미경의 스티칭 모드는 광시야 관찰에 유용합니다.

고배율 대물렌즈로 획득한 개별 이미지를 스티칭하여(기본적으로 퍼즐처럼 서로 연결됨) 수십 밀리미터부터 수백 밀리미터 간격으로 넓게 분산된 특성을 촬영하여 넓은 시야의 고해상도 이미지를 얻을 수 있습니다.

스티칭 전의 개별 2D 이미지

스티칭 후의 개별 2D 이미지.

스티칭 후의 2D 이미지

스티칭 후의 2D 이미지.

필름 표면 질감의 광시야 뷰

왼쪽: 9 × 9 스티칭 높이 이미지(50배 대물렌즈, 약 2000µm 평방) 높이 이미지는 색상으로 표시된 밴드로 높이 데이터를 나타내는 2D 이미지입니다. 오른쪽: 단일 이미지, 약 250µm. 스티칭된 이미지로 볼 때, 크고 작은 질감의 분포는 수십부터 수백 µm 간격으로 관찰됩니다.

그럼 세 필름의 실제 분석 결과를 확인해 보겠습니다.

아래의 데이터는 약 2mm 평방의 영역을 OLS5100 현미경으로 촬영한 필름 1~3의 표면 거칠기 측정 결과와 3D 이미지입니다.

필름 표면 질감, 필름 표면 질감의 3D 뷰

필름 1~3의 3D 이미지 비교. 아래 행은 9 × 9 스티칭 이미지(50배 대물렌즈, 약 2000µm 평방)를 보여줍니다.

샘플
Sa[µm]
Film 1_ob50x_9x9
0.069
Film 2_ob50x_9x9
1.181
Film 3_ob50x_9x9
0.391

Sa의 표면 거칠기 값.

위의 표에서 볼 수 있듯이, 세 가지 샘플의 표면 거칠기, 필름 표면의 불균일성 차이 평가를 위해 흔히 사용되는 Sa(산술 평균 높이)가 값으로 잘 나타나 있습니다. 시각적 표면의 외관과 3D 요철의 분포 간 상관관계를 볼 때 필름 1은 매끄러운 표면을 갖고 있음을 볼 수 있습니다. 이와 대조적으로, 필름 2와 3은 국소화되거나 전체적으로 보이는 표면 요철이 있습니다.

그럼 이러한 불균일성의 정도를 정량화하는 거칠기 매개변수인 Sal(자기상관 길이) 및 Str(질감 종횡비)을 살펴보겠습니다.

샘플
Sa[µm]
Sal[µm]
Str
Film 1_ob50x_9x9
0.069
244.26
0.605
Film 2_ob50x_9x9
1.181
120.65
0.865
Film 3_ob50x_9x9
0.391
35.162
0.839

Sa, Sal, Str의 표면 거칠기 값.

위에서 정의한 대로, Sal의 값이 작을수록 표면 요철이 더 가파르게 되며, 값이 클수록 형태가 더 완만해집니다. 위의 표에 나타난 대로, 샘플의 Sal 값은 관련되어 있습니다. 3D 이미지와 함께 보면 알 수 있듯이, 필름 1은 값이 크므로 표면이 더 완만함을 의미합니다. 이와 대조적으로 필름 3은 값이 낮으므로 표면이 더 가파르고 결정립이 더 미세함을 의미합니다.

Str은 자기상관 이미지에서 자기상관 값 s(지정되지 않은 경우 0 ≤ s < 1, s = 0.2)로 붕괴되는 가장 먼 측방향 거리(rmax)의 비율로 정의됩니다. Str은 다음 공식으로 표현됩니다.

Sal = rmin
Str = rmin/rmax

세 샘플의 Str 값을 보면 필름 2와 3은 거의 차이가 없고, 이 두 필름과 필름 1 사이에는 어느 정도 차이가 있습니다.

Str의 범위는 0~1입니다. Str이 0.5보다 크면 일반적으로 강한 등방성을 나타내고, Str이 0.3보다 작으면 강한 비등방성을 나타내는데 세 샘플 모두 값이 0.5 이상입니다. 그러므로 불균일한 형태의 분포는 등방성이라고 결론 내릴 수 있습니다. 다만 값이 0.3에 더 가까운 필름 1은 값이 0.5보다 큰 필름 2와 3보다 약간 더 비등방성입니다.

표면 질감의 비등방성과 등방성

높이 이미지

필름 표면 질감의 3D 이미지

자기상관 이미지

필름 표면 질감의 자기상관 이미지

자기상관 이미지의 확장 뷰

필름 표면 질감의 자기상관 이미지

공간 매개변수로 필름의 질감 차이 결정

이 데이터를 기반으로 질감이 달라 보이는 이 세 필름 표면에 대해 다음과 같은 결론을 내릴 수 있습니다.

신뢰할 수 있는 데이터를 제공하는 OLS5100 현미경은 다양한 분야에서 필름 표면 거칠기 평가에 기여할 수 있을 것입니다. OLS5100의 3D 레이저 컨포컬 현미경을 사용하여 필름 표면 거칠기를 측정하는 방법에 대해 자세히 알고 싶으시면, Evident 팀에 문의해 주세요.

Post Author's Photo

Suzue Izumi

Marketing Specialist, Metrology Solutions

Suzue Izumi is a marketing specialist for metrology solutions at Evident. Since joining Evident in 2001, she has performed many demonstrations as a laser confocal microscope specialist. In addition to visiting laser confocal microscope users in Japan to provide technical support for system operations and data analysis, she provides application support globally.