Cuantificación de la textura en películas con tratamiento de superficie: Comparación de parámetros espaciales

february-2024-suzue-izumi-banner.jpg

Post Author's Photo

Suzue Izumi

20 febrero, 2024

Las superficies de las películas usadas en una amplia variedad de campos, como en los materiales industriales, envases alimentarios y necesidades diarias, son tratadas y procesadas para dotarlas de transparencia, brillo, resistencia al agua, resistencia a las manchas y otras características diversas que permiten adaptarlas a la aplicación.

Si bien las superficies blancas son a menudo evaluadas visualmente al llevar la película hasta un punto de iluminación para comprobar el brillo de la superficie y la visibilidad a través de ella, también es necesario determinar cuantitativamente las diferencias a nivel de la textura superficial.

Cuando se cuantifican las diferencias a nivel de las superficies de películas, es una práctica común evaluar la rugosidad superficial como medida cuantitativa de la textura superficial. Sa, Sdq y Sdr son parámetros de rugosidad típicos que se usan para evaluar las propiedades de la superficie en la dirección de altura (Z). Sin embargo, la rugosidad superficial (altura) es tan solo un factor en la percepción visual de la textura de la película. La textura de los patrones finos y los patrones que se extienden en la dirección planar (XY) también tienen un efecto significativo.

Mientras que la mayoría de los parámetros de rugosidad superficial miden el componente de altura, los parámetros Sal (longitud de autocorrelación) y Str (relación de aspecto de textura) son los únicos que evalúan el componente planar.

Cuantificación de las diferencias en la textura de películas con tratamiento de superficie: Experimento

Para ofrecerle una mejor comprensión de cómo estos parámetros direccionales planares le ayudan a medir la textura de la superficie de la película, hemos llevado a cabo un experimento en el que se comparan tres películas con distintos aspectos de textura.

Textura superficial de películas

La película 1 —por la cual aparece el texto claro— y las películas 2 y 3 —por las cuales aparece el texto borroso— presentan texturas visuales diferentes. A lo largo de este experimento, se cuantificarán estas tres películas en función de los parámetros direccionales planares Sal y Str.

Descripción general de los parámetros planares Sal y Str

Antes de describir el experimento, vamos a revisar los conceptos básicos de cada parámetro.

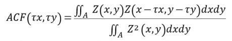
Sal (longitud de autocorrelación): Es una medida que determina cuán similar (o diversa) puede ser una imagen irregular con respecto a la imagen original desplazándola en dirección horizontal (τx, τy). En otras palabras, indica el grado de similitud entre la imagen antes y después del desplazamiento. Se trata de una medida numérica de la densidad de las irregularidades superficiales (p. ej., estrías o partículas) en unidades de longitud.

Se emplean los siguientes pasos para cuantificar los resultados:

  1. La imagen irregular se desplaza de un píxel en dirección horizontal (τx, τy).
  2. Después del desplazamiento de la imagen y de multiplicar los valores de altura de las áreas sombreadas superpuestas en la figura de que queda abajo, se llevan a cabo una serie de operaciones adicionales como la normalización. Estos procesos reciben el nombre de operaciones de autocorrelación. De esta forma, se crea la imagen de autocorrelación transformada de la imagen original.

Proceso de creación de una imagen de autocorrelación

Proceso de creación de una imagen de autocorrelación.

  1. Matemáticamente, la función de autocorrelación (ACF) se expresa de la siguiente forma:

  1. El valor Sal es la distancia lateral más cercana (rmin) que disminuye con respecto al valor de correlación s (0 ≤ s < 1, s = 0,2 si no se especifica) en la imagen de autocorrelación.

Str (relación de aspecto de textura): Se define como la relación de la distancia lateral más lejana (rmax) que disminuye con respecto al valor de correlación s (0 ≤ s < 1, s = 0,2 si no se especifica) en la imagen de autocorrelación y Sal (rmin) en una imagen de autocorrelación.

Aquí aparecen los valores Sal y Str en una vista tridimensional (3D):

Parámetros de rugosidad superficial Sal y Str en una vista 3D

Aquí aparecen los valores Sal y Str desde una perspectiva bidimensional (2D):

Parámetros de rugosidad superficial Sal y Str en una vista 2D

Parámetros de rugosidad superficial Sal y Str en una vista 2D

Sal = 1,27 μm. Str = 1,27/1,69 = 0,752.

En el caso del parámetro Sal, cuanto más pequeño sea el valor, más pronunciada será la irregularidad superficial y, cuanto más grande sea el valor, más gradual será la forma. Str va de 0 a 1, donde Str > 0,5 suele indicar una fuerte isotropía* y, al contrario, Str < 0,3 indica una fuerte anisotropía**.

* Independencia de las propiedades y distribución en cualquier dirección. En este caso, hace referencia al hecho de que la distribución de la forma se extiende de forma uniforme y es imparcial en todas las direcciones.
** La dependencia de una propiedad o distribución en una dirección. Aquí, hace referencia al hecho de que la distribución de la forma se extiende en una dirección específica.

Evaluación de tres superficies de películas con la microscopía de escaneo láser 3D

Para este experimento, se confirmaron visualmente las condiciones de superficie de las tres películas en tres dimensiones con un microscopio confocal láser 3D modelo LEXT™ OLS5100.

Para adquirir los datos 3D, el microscopio OLS5100 escanea la superficie de la muestra con un haz láser violeta de 405 nm. Los objetivos LEXT dedicados, que se adaptan a la longitud de onda de 405 nm y minimizan las aberraciones, permiten capturar de forma clara los patrones y defectos diminutos que son difíciles de capturar con microscopios ópticos convencionales y microscopios láser generales. Este sistema óptico también ejecuta mediciones anticontacto, que evitan preocupaciones por daños que pueden suceder en la superficie, incluso en el caso de muestras lisas como una película.

Objetivos para un microscopio confocal láser en 3D

Objetivos LEXT dedicados de izquierda a derecha: Objetivo de baja magnificación de 10X, objetivos de alto rendimiento de 20X, 50X y 100X y objetivos de larga distancia de trabajo de 20X, 50X y 100X.

Textura de la superficie capturada con un láser rojo

Láser rojo (658 nm: línea de 0,26 μm y espacio).

Textura de la superficie capturada con un láser violeta

Láser violeta (405 nm: línea de 0,12 μm y espacio).

Además, el microscopio OLS5100 ejecuta fiables análisis de rugosidad superficial en conformidad con la norma ISO 25178, evalúa los parámetros Sal y Str (únicos para la rugosidad superficial) y une en mosaico varias imágenes para adquirir datos de campo amplio muy precisos. Incluso es posible especificar las áreas de la imagen a partir de la aplicación mosaico en el macromapa a fin de facilitar el análisis de la textura superficial.

Esta última característica se muestra en el siguiente paso, donde se creó una imagen por aplicación mosaico para capturar los datos de rugosidad superficial a partir de las superficies de la película en una zona más amplia.

Captura de los datos de rugosidad superficial desde una perspectiva más amplia

El tamaño límite que puede ver el ojo humano es de 0,1 a 0,2 mm aproximadamente, y el tamaño de la textura en las superficies de películas que puede confirmarse visualmente es casi similar o de mayor tamaño.

Dado que la textura superficial de una película puede contener irregularidades todavía más pequeñas, es importante seleccionar una lente de objetivo dotada de una resolución y una magnificación más altas al adquirir datos. No obstante, al cambiar por una resolución más alta, el rango de observación de un campo visual es más estrecho con lentes de alta potencia; por consiguiente, la aplicación mosaico del microscopio OLS5100 resulta útil para la observación de campo amplio.

Las imágenes individuales adquiridas con una lente de objetivo de alta magnificación pueden unirse en mosaico (básicamente como armar un puzzle) para obtener imágenes dotadas de un amplio campo visual y alta resolución de las características dispersas en decenas de cientos de milímetros.

Imágenes individuales 2D antes de la aplicación mosaico

Imágenes individuales 2D antes de la aplicación mosaico.

Imagen 2D después de la aplicación mosaico

Imagen 2D después de la aplicación mosaico.

Vista de campo amplio de la textura superficial de la película

Izquierda: Imágenes de altura unidas 9 x 9 (objetivo 50X, cerca de 2000 µm cuadrados). Las imágenes de altura son imágenes 2D que representan datos de altura en una banda codificada por color. Derecha: imagen única, cerca de 250 µm. En la imagen mosaico, la dispersión de las texturas grandes y pequeñas puede visualizarse en intervalos de decenas de cientos de µm.

A continuación, se muestran los resultados del análisis real para las tres películas.

Es posible ver las imágenes 3D y los resultados de medición de la rugosidad superficial provenientes de las superficies de cada película (de 1 a 3) adquiridos con el microscopio OLS5100 sobre un área de unos 2 mm cuadrados.

Textura superficial de la película: Vista 3D de la textura superficial de la película

Comparación de la imagen 3D de las películas 1-3. La fila inferior muestra imágenes en mosaico 9 x 9 (objetivo 50X, cerca de 2000 µm cuadrados).

Muestra
Sa [µm]
Película 1_ob50x_9x9
0,069
Película 2_ob50x_9x9
1,181
Película 3_ob50x_9x9
0,391

Valor de rugosidad superficial en Sa.

Tal y como puede verse en la tabla de arriba, en cuanto al valor Sa (altura de media aritmética), que suele evaluarse para la rugosidad superficial, las diferencias en la uniformidad de la superficie de la película entre las tres muestras están bien representadas por los valores. En cuanto a la correlación entre el aspecto de la superficie visual y la distribución de las irregularidades en 3D, podemos ver que la película 1 tiene una superficie uniforme. En cambio, las películas 2 y 3 tienen irregularidades localizadas o de superficie completa.

Ahora, se muestran los parámetros de rugosidad Sal (longitud de autocorrelación) y Str (relación de aspecto de textura), que cuantifican el alcance de estas irregularidades.

Muestra
Sa [µm]
Sal [µm]
Str
Película 1_ob50x_9x9
0,069
244,26
0,605
Película 2_ob50x_9x9
1,181
120,65
0,865
Película 3_ob50x_9x9
0,391
35,162
0,839

Valor de rugosidad de la superficie en Sa, Sal y Str.

Como se ha explicado anteriormente, cuanto más pequeño sea el valor de Sal, cuanto más profunda sea la irregularidad de la superficie y más grande sea el valor, más gradual será la forma. La tabla anterior muestra que los valores Sal de las muestras están relacionados. Tal y como puede verse en conjunción con las imágenes 3D, la película 1 con un valor más alto indica un perfil de la superficie más gradual. Por el contrario, la película 3 con un valor más bajo indica un perfil de superficie más pronunciado y un grano más fino.

Str se define como la relación de la distancia lateral más lejana (rmax) que disminuye con respecto al valor de correlación s (0 ≤ s < 1, s = 0,2 si no se especifica) en la imagen de autocorrelación y Sal (rmin) en una imagen de autocorrelación. Y se expresa mediante la fórmula siguiente:

Sal = rmin
Str = rmin/rmax

Los valores Str para las tres muestras muestran la pequeña diferencia entre las películas 2 y 3, y alguna diferencia entre estas dos películas y la película 1.

Str va de 0 a 1. Si tenemos en cuenta que Str > 0,5 suele indicar una fuerte isotropía y Str < 0,3 suele indicar una fuerte anisotropía, las tres muestras tienen un valor de 0,5 o más. Por lo tanto, podemos concluir que la distribución de las formas irregulares es isotrópica. En todo caso, la película 1, que es más cercana a 0,3, es ligeramente más anisotrópica que las películas 2 y 3, que tienen valores bien superiores a 0,5.

Anisotropía vs. isotropía en la textura superficial

Imagen de altura

Imagen 3D de la textura superficial de la película

Imagen de autocorrelación

Imagen de autocorrelación de la textura de la superficie de una película

Vista ampliada de la imagen de autocorrelación

Imagen de autocorrelación de la textura de la superficie de una película

Determinación de las diferencias de textura de las películas mediante parámetros espaciales

A partir de los datos recogidos, se pudo concluir lo siguiente sobre las tres superficies de las películas con distinto aspecto de texturas.

El microscopio OLS5100 proporciona datos fiables que contribuyen a evaluar la rugosidad superficial de las películas a través de una variedad de campos. Para obtener más información sobre la utilización del microscopio confocal láser 3D OLS5100 con el fin de medir la rugosidad superficial de las películas, póngase en contacto con nuestro equipo.

LEXT OLS5500

Perfilómetro óptico 3D híbrido

  • Mediciones de superficie trazables de nanómetros a micrómetros
  • Microscopía de escaneo láser (LSM), interferometría de luz blanca (WLI) y microscopía de variación de enfoque (FVM) en una sola plataforma premiada
  • Primer perfilómetro óptico 3D que ofrece precisión y repetibilidad* garantizadas para mediciones LSM y WLI.
  • El modo WLI ofrece una capacidad de procesamiento de mediciones hasta 40 veces superior a la de la LSM convencional.
  • Precisión excepcional en todas las superficies gracias a óptica de ingeniería propia
  • Interfaz intuitiva y automatización inteligente que agilizan la operación para usuarios de todos los niveles
  • Flujos de trabajo de alta capacidad de procesamiento optimizados con IA mediante la integración con el software PRECiV™

* Basado en la investigación interna de Evident a octubre de 2025. La exactitud y repetibilidad garantizadas solo se aplican si el dispositivo se ha calibrado según las especificaciones del fabricante y se encuentra libre de defectos. La calibración la debe llevar a cabo un técnico de Evident o un especialista autorizado por Evident.

Más información

LEXT OLS5100

El microscopio de escaneo láser LEXT™ OLS5100 combina precisión y rendimiento óptico a un nivel excepcional junto con herramientas inteligentes que facilitan su uso. Las tareas de medición precisa y submicrométrica con respecto a la forma y la rugosidad superficial son rápidas y eficientes, lo que simplificará su flujo de trabajo y proporcionará datos de alta calidad en los que puede confiar.

Más información

Post Author's Photo

Suzue Izumi

Marketing Specialist, Metrology Solutions

Suzue Izumi is a marketing specialist for metrology solutions at Evident. Since joining Evident in 2001, she has performed many demonstrations as a laser confocal microscope specialist. In addition to visiting laser confocal microscope users in Japan to provide technical support for system operations and data analysis, she provides application support globally.